Research & Innovations

Explore cutting-edge studies and breakthroughs in metabolic pathway engineering

Research Articles

Boosting Microbial Resilience: Advanced Strategies to Improve Tolerance to Lignocellulose-Derived Inhibitors in Bioprocessing

This article provides a comprehensive analysis of strategies to enhance microbial and enzymatic tolerance to inhibitory compounds generated during lignocellulosic biomass pretreatment.

Nolan Perry
Feb 02, 2026

From Models to Medicine: How Next-Gen FBA is Revolutionizing Metabolic Flux Prediction for Drug Discovery

This article provides a comprehensive guide for researchers and drug development professionals on enhancing the accuracy of Flux Balance Analysis (FBA).

Ethan Sanders
Feb 02, 2026

Mastering Metabolic Modeling: A Step-by-Step Guide to Implementing Flux Balance Analysis with COBRA Toolbox

This comprehensive guide provides researchers and drug development professionals with a practical framework for implementing Flux Balance Analysis (FBA) using the COBRA Toolbox.

Benjamin Bennett
Feb 02, 2026

Mastering IPTG-Inducible Systems: A Complete Guide to Essential Gene Expression Control in Metabolic Engineering and Drug Discovery

This comprehensive guide explores the strategic application of IPTG-regulated expression systems for controlling essential pathway genes in microbial hosts.

Nathan Hughes
Feb 02, 2026

INST-MFA: Mastering Isotopically Nonstationary Metabolic Flux Analysis for Cutting-Edge Biomedical Research

This article provides a comprehensive guide to Isotopically Nonstationary Metabolic Flux Analysis (INST-MFA), an advanced computational technique for quantifying cellular metabolism in dynamic systems.

Wyatt Campbell
Feb 02, 2026

INST-MFA: Unlocking Dynamic Metabolism for Drug Discovery & Disease Research

This article provides a comprehensive guide to Isotopically Non-Stationary Metabolic Flux Analysis (INST-MFA), a powerful technique for quantifying dynamic metabolic fluxes in living systems.

Camila Jenkins
Feb 02, 2026

Hypercarb vs. ZIC-pHILIC: A Comprehensive Guide for Optimal Cofactor Separation in LC-MS/MS

This article provides a detailed comparison of porous graphitic carbon (Hypercarb) and zwitterionic hydrophilic interaction liquid chromatography (ZIC-pHILIC) columns for the analysis of essential cofactors (e.g., NAD(P)(H), ATP, CoA, vitamins).

Christopher Bailey
Feb 02, 2026

Unlocking Fermentation Efficiency: A Step-by-Step Guide to Identifying Rate-Limiting Steps in Microbial Bioprocesses

This comprehensive guide provides researchers, scientists, and bioprocess development professionals with a systematic framework for identifying and overcoming rate-limiting steps in microbial fermentation.

Aiden Kelly
Feb 02, 2026

Decoding Cellular Metabolism: How FBA Predicts Metabolic Phenotypes in Biomedical Research

This article provides a comprehensive guide for researchers, scientists, and drug development professionals on the application of Flux Balance Analysis (FBA) to predict metabolic phenotypes.

Levi James
Feb 02, 2026

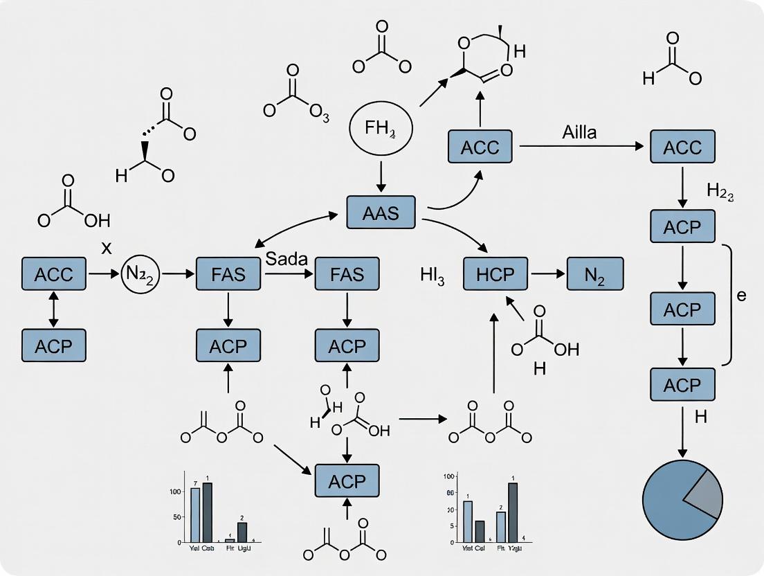
Engineered Pathways: Heterologous Gene Expression for Advanced Fatty Acid-Derived Biofuels

This article provides a comprehensive overview of heterologous gene expression strategies for the microbial production of fatty acid-derived biofuels, targeting researchers and scientists in metabolic engineering and synthetic biology.

Logan Murphy
Feb 02, 2026

Popular Articles

Research Tags